순열(順列)
순서를 고려해 나열한 경우의 수.
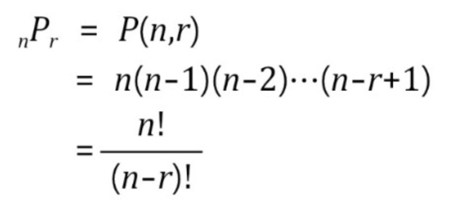
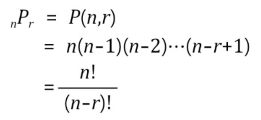
즉, 서로 다른 n개 중 r개를 골라 순서를 정해 나열하는 경우의 수(nPr)를 의미합니다.
예를 들어, 다섯 명의 학생 중 반장 1명과 부반장 1명을 뽑는 경우의 수를 구하는 것이 순열에 해당한다고 볼 수 있습니다.
공식은 다음과 같습니다.

구현
주어진 수의 배열이 1, 2, 3일 때 두 개를 뽑는 순열의 경우의 수를 출력하는 코드입니다.
구현 방식은 두 가지입니다.
- 재귀와 방문배열을 활용한 방식
- 비트마스킹을 활용한 방식
// 순열(nPr) - n개의 값 중 r개를 순서대로 뽑는 경우의 수
public class Permutation {
static int[] arr = {1, 2, 3};
static int n = arr.length; // 주어진 수의 갯수
static int r = 2; // 뽑을 갯수
static boolean[] visited = new boolean[n]; // 현재 순열에 특정 값이 포함되었는지 여부
static int[] output = new int[r]; // 출력할 순열을 저장하는 배열
public static void main(String[] args) {
perm(0);
permWithBit(0, 0);
}
// 1. 재귀를 활용한 순열 생성
static void perm(int depth) {
if (depth == r) {
print();
return;
}
for (int i = 0; i < n; i++) {
if (visited[i]) continue;
visited[i] = true;
output[depth] = arr[i]; // 출력 배열에 값 저장
perm(depth+1); // 재귀
visited[i] = false;
}
}
// 2. 비트 마스킹을 활용한 순열 생성
static void permWithBit(int depth, int flag) {
if (depth == r) {
print();
return;
}
for (int i = 0; i < n; i++) {
if ((flag & (1<<i)) != 0 ) continue; // i번째 원소가 이미 등록된 경우
output[depth] = arr[i];
permWithBit(depth+1, flag | 1<<i); // i번째 원소를 flag에 등록
}
}
static void print() {
for (int i = 0; i < r; i++) {
System.out.print(output[i]+ " ");
}
System.out.println();
}
}
두 가지 구현방식의 코드 실행결과는 서로 일치하며 그 내용은 다음과 같습니다.
1 2
1 3
2 1
2 3
3 1
3 2'Algorithm > Math' 카테고리의 다른 글
| [Math] 부분집합과 멱집합 / Java (0) | 2023.08.14 |
|---|---|
| [백준] 11758. CCW / Java (0) | 2023.06.20 |
| 순열(Permutation) (0) | 2023.01.09 |
| 조합(Combination), 중복조합 (0) | 2023.01.09 |